ホームへ戻る 中学校から学ぶ電磁気学 > 科学史からみるオームの法則 > 

抵抗Rを詳しく知ろう

次の式は先ほどのページでもとめられましたね。

式3

ここでこの式の記号を次のように現在使われている記号に置き換えます。

○   χ(伝導率)     =1/ρ(電気抵抗率の逆数)
○   ω(横断面積)    =S(断面積)
○x(回路の特定の部分の長さ)=L(長さ)
○   S(流れの強さ)   =I(電流)
○   A(張力)      =V(電圧)
とすると

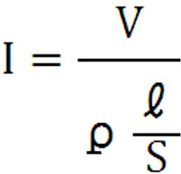
式9となります。

Λは回路の全体の長さなので現在使われている記号に置き換えるとR'になり、内部抵抗なので無視できるので

式10
このようになります。

ここで次の2つの式を比較してみます。

式8             式10

上の2つの式より次のことがわかります。

式11

これより、R(抵抗)はL(長さ)に比例していて、S(断面積)に反比例している。

ここで次の2つの式を見てみます。
式8             式11
この2つの式よりI(電流)について次のようなことが言えます。
I(電流)はL(長さ)に反比例していて、S(断面積)に反比例している。
オームが見つけたこの法則ははただ単に電圧、抵抗、電流の3つの関係を表したというわけではなく、抵抗はどのような要因(抵抗率、断面積、長さ)によって決まるか、 また、その要因で電流がどう変化するかを関係式として見つけたものであった。